• Предмет: Алгебра
  • Автор: Artem335535
  • Вопрос задан 3 года назад

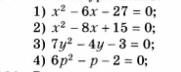
Формула корней квадратного уравнения
..............​

Приложения:

Ответы

Ответ дал: wqett
1

Полный ответ на фотографии:

Приложения:
Вас заинтересует
8 лет назад