• Предмет: Математика
  • Автор: Lily2015
  • Вопрос задан 3 года назад

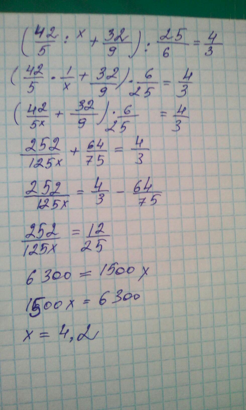
Решите уравнение с фотографии подробно​

Приложения:

Ответы

Ответ дал: Аноним
7

Ответ:

Решение смотри на фотографии. Третье не правильно, она на второй фотографии.

Приложения:

Аноним: вверху
Аноним: Кто хочет - увидет, камера плохая
Аноним: спасибо
Аноним: братан
Аноним: от души
Аноним: Я думал, вы забросили свой аккаунт
Аноним: уже как 2 года не отвечали на вопросы
Аноним: да да
Аноним: в 2019 году
Аноним: ответил на вопрос
Вас заинтересует