• Предмет: Алгебра
  • Автор: Dasgjo7t
  • Вопрос задан 3 года назад

помогите решить алгебру​

Приложения:

Ответы

Ответ дал: OceanAsh
0

1)- 2x^{2} +3x-x^{2} + 5x =

Если x=0,2

- 2 * 0,04+ 3*0,02 - 0,04+1  = -0,08+0,6-0,04+1= 0,52 - 0,04+1= 0,48+1= 1,48

Ответ: 1,48

2)-5s^{2}+6s+3a^{2} - 2s =

Если s=-0,2

- 5*(-0,2)^2+6*(-0,2)+3*(-0,2)^2 - 2*(-0,2) = 5*0,04 - 1, 2 - 3 *0,04+0,4 = 0,2-1,2-0,12+0,4= -1-0,12+0,4= -1,12+0,4= - 0,72

ОТВЕТ: -0,72

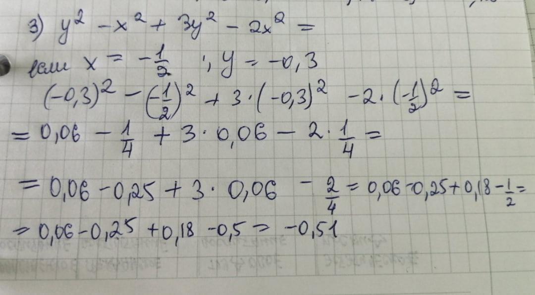
3) ( на картинке)

Ответ: -0,51

Приложения:

OceanAsh: 2)
OceanAsh: - 5*(-0,2)^2+6*(-0,2)+3*(-0,2)^2 - 2*(-0,2) = 5*0,04 - 1, 2 - 3 *0,04+0,4 = 0,2-1,2-0,12+0,4= -1-0,12+0,4= -1,12+0,4= - 0,72
ОТВЕТ: -0,72
Вас заинтересует