• Предмет: Информатика
  • Автор: kamilala2002
  • Вопрос задан 3 года назад

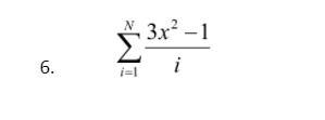
Пайтон, надо решить, нужен код (чтобы просто скопировать и вставить)

Приложения:

Ответы

Ответ дал: restIess
1

N = int(input("N="))

x = float(input('x='))

s = 0

for i in range(1,N+1):

   s += ((3*x**2-1)/i)

print(s)

Вас заинтересует