• Предмет: Алгебра
  • Автор: yagotow
  • Вопрос задан 3 года назад

ПОМОГИТЕ СРОЧНО!!!!


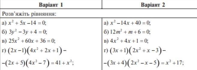
Второй вариант

Заранее спасибо!!!

Приложения:

Ответы

Ответ дал: oksi29393
1

Ответ:

Объяснение:

а)х^2-14x+40=0

D=196-160=36

x1=(14-6)/2=4

x2=(14+6)/2=10

б)12m^2+m+6=0

D=1-288=-287

x1=(-1-корень из 287і)/24

х2=(-1+коринь из 287і)/24

в)4x^2+4x+1=0

D=16-16=0

x1=х2=-4/8=-1/2

г)(3х+1)(2x^2+x-3)-(3x+4)(2x^2-x-5)=x^2+17

6x^3+3x^2-9x+2x^2+x-3-(6x^3-3x^2-15x+8x^2-4x-20)=x^2+17

6x^3+3x^2-9x+2x^2+x-3-6x^3-5x^2+19x+20=x^2+17

11x+17=x^2+17

11x=x^2

11x-x^2=0

x(11-x)=0

x=0.   x=11

Вас заинтересует