• Предмет: Алгебра
  • Автор: mamamakska
  • Вопрос задан 3 года назад

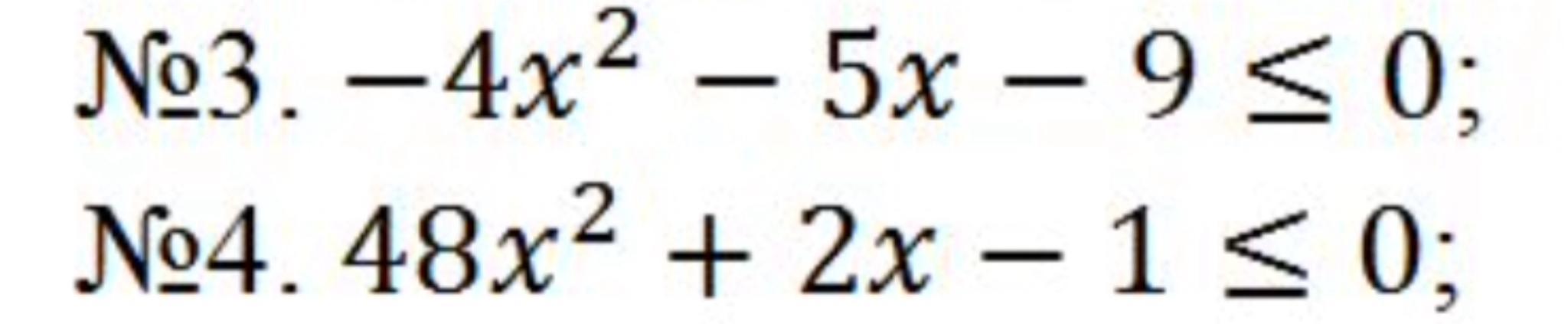
Найдите решение следующих неравенств графическим способом

Приложения:

Ответы

Ответ дал: zveryakovanata
1

Ответ: 3)х-любое 4) [-1/6; 1/8]

Объяснение:

Приложения:
Вас заинтересует