• Предмет: Математика
  • Автор: anyaodessa1
  • Вопрос задан 3 года назад

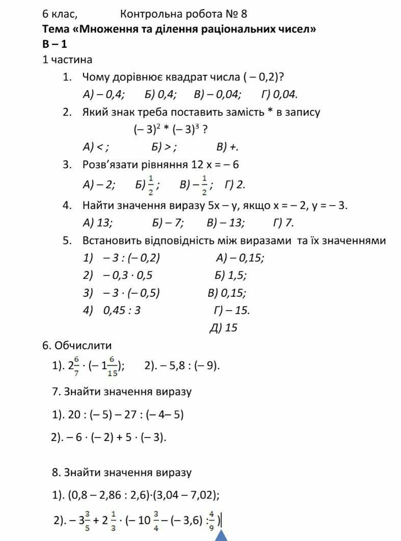
помогите пожалуйста с пятым,шестым,седьмым и восмым;даю 10 баллов!​

Приложения:

Ответы

Ответ дал: Shynar91
0

Пошаговое объяснение:

5

1. 1,5

2. -1,5

3. 1,5

4. 0,15

Вас заинтересует