Помогите пожалуйста решить эти два номера
Приложения:

Аноним:
7^(2/(x-1))=7^(3/(y-1)); 2/(х-1)=3/(у-1); из второго у=4х-2у; 3у=4х. Решите систему.
Ответы
Ответ дал:
1
Смотри )))))))))))))))))))))))))))))))))
Приложения:

Ответ дал:
1
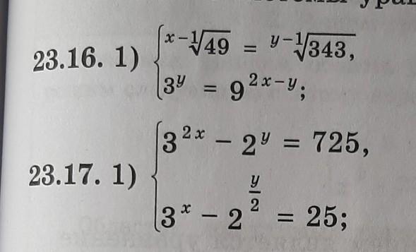
16. система:
7^(2/x-1)=7^(3/y-1)
3^y=3^(4x-2y)
--------
2/(x-1)=3/(y-1)
3у=4х
------
3х-3=2у-2
3у=4х
---------
2у=3х-1
3у=4х
-------
6у=9х-3
6у=8х
--------
х-3=0; х=3; у=4
отв.: (3; 4).
-------------------------------------------------------------
17.
замена: 3^x=a; 2^(y/2)=в
а²-в²=725
а-в=25
--------
(а-в)(а+в)=725
а-в=25
------
а+в=29
а-в=25 сложим
------
а=27
в=2
------ обратная замена
3^x=27
2^(y/2)=2
-----
3^x=3³; x=3
y/2=1; y=2
отв.: (3; 2).
Вас заинтересует
2 года назад
2 года назад
2 года назад
8 лет назад
8 лет назад