• Предмет: Алгебра
  • Автор: bellabellalintinova
  • Вопрос задан 3 года назад

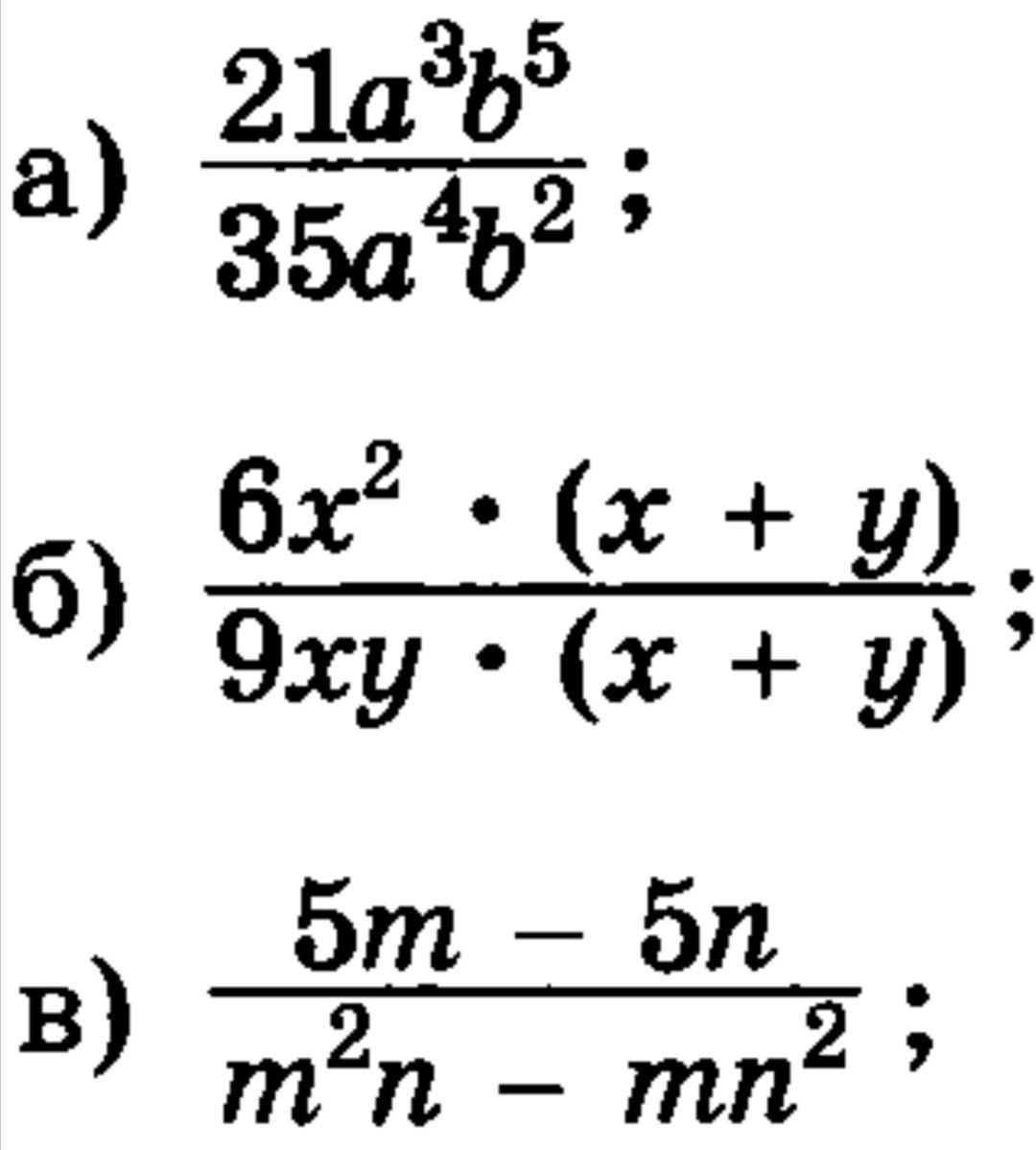
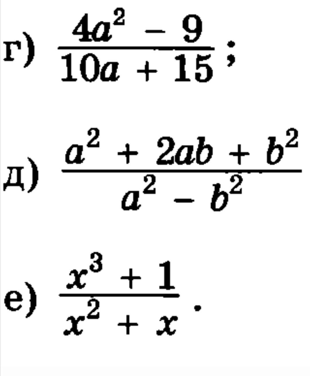
Сократите дробь. Даю 20 баллов. Пожалуйста!!!

Приложения:

Ответы

Ответ дал: NinonRu
0

Ответ:

Объяснение:

\frac{(2a-3)(2a+3)}{5(2a+3)} =\frac{2a-3}{5} \\\frac{(a+b)^{2} }{(a-b)(a+b)}=\frac{a+b}{a-b}  \\\frac{x^{3} +1}{x^{2} +x} =\frac{(x+1)(x^{2} -x-1)}{x(x+1)} =\frac{x-1}{x} \\

a)\frac{(7a^{3}b^{2} )(3b^{2} ) }{(7a^{3}b^{2})(5a)}=\frac{3b^{2} }{5a}  \\b)\frac{2x}{3y} \\

в) \frac{5(m-n)}{mn(m-n)}=\frac{5}{mn}

Вас заинтересует