ККД теплової машини що працює за циклом Карно становить 0.25 у скільки разів необхідно збільшити температуру нагрівника за незмінної температури в холодильниках щоб збільшити ККД в два рази
Ответы
Ответ дал:
12
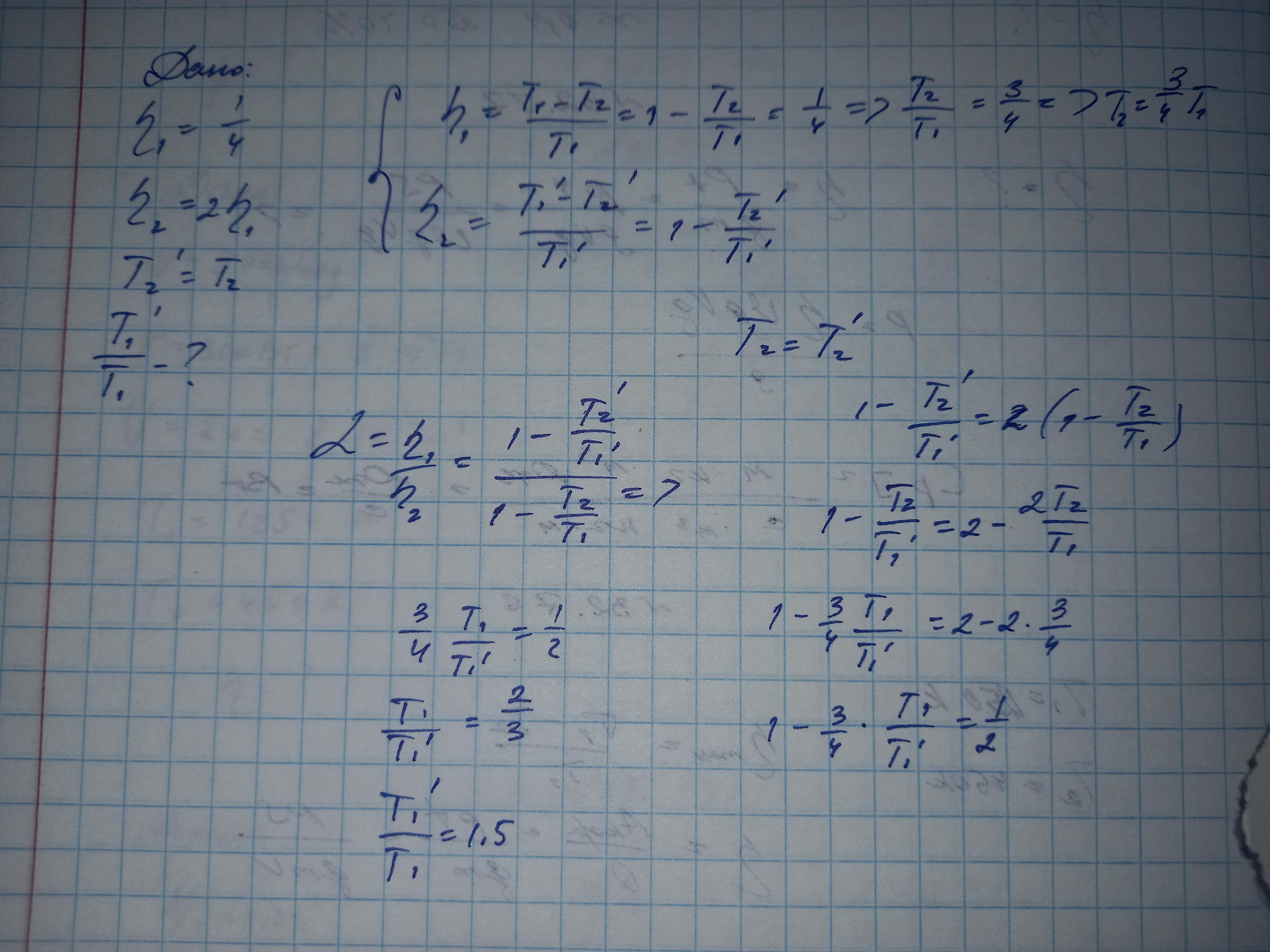
Ответ: смотри фотографию
Объяснение:
Приложения:

darynaaa2:
Спасибо!
Вас заинтересует
2 года назад
2 года назад
2 года назад
8 лет назад
9 лет назад
9 лет назад