• Предмет: Алгебра
  • Автор: UroborusUrius
  • Вопрос задан 3 года назад

Найдите частное решение дифференциального уравнения :
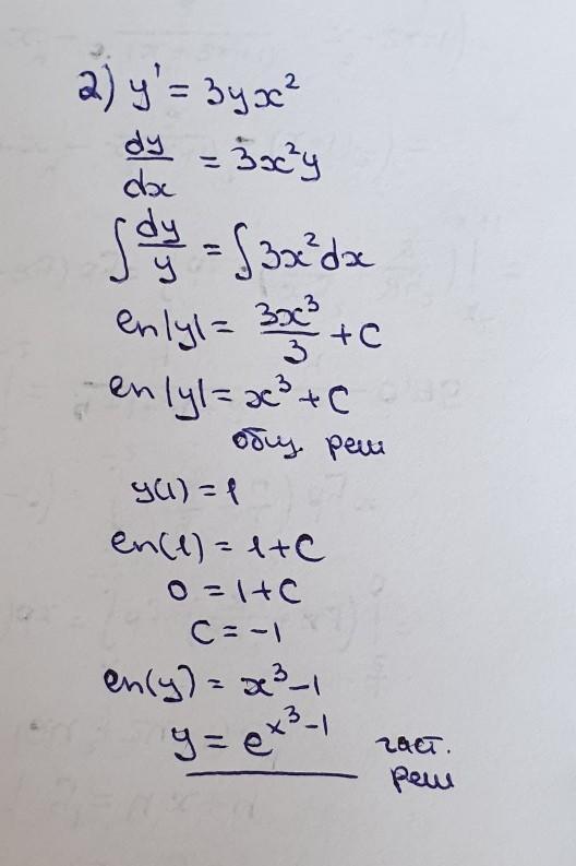
2)y'=3yx² при услови y(1)=1

4)y'=1/1+x² при условии y(1)=π​

Ответы

Ответ дал: Miroslava227
5

Ответ:

решение на фотографиях

Приложения:
Вас заинтересует