• Предмет: Алгебра
  • Автор: ZidDer35
  • Вопрос задан 3 года назад

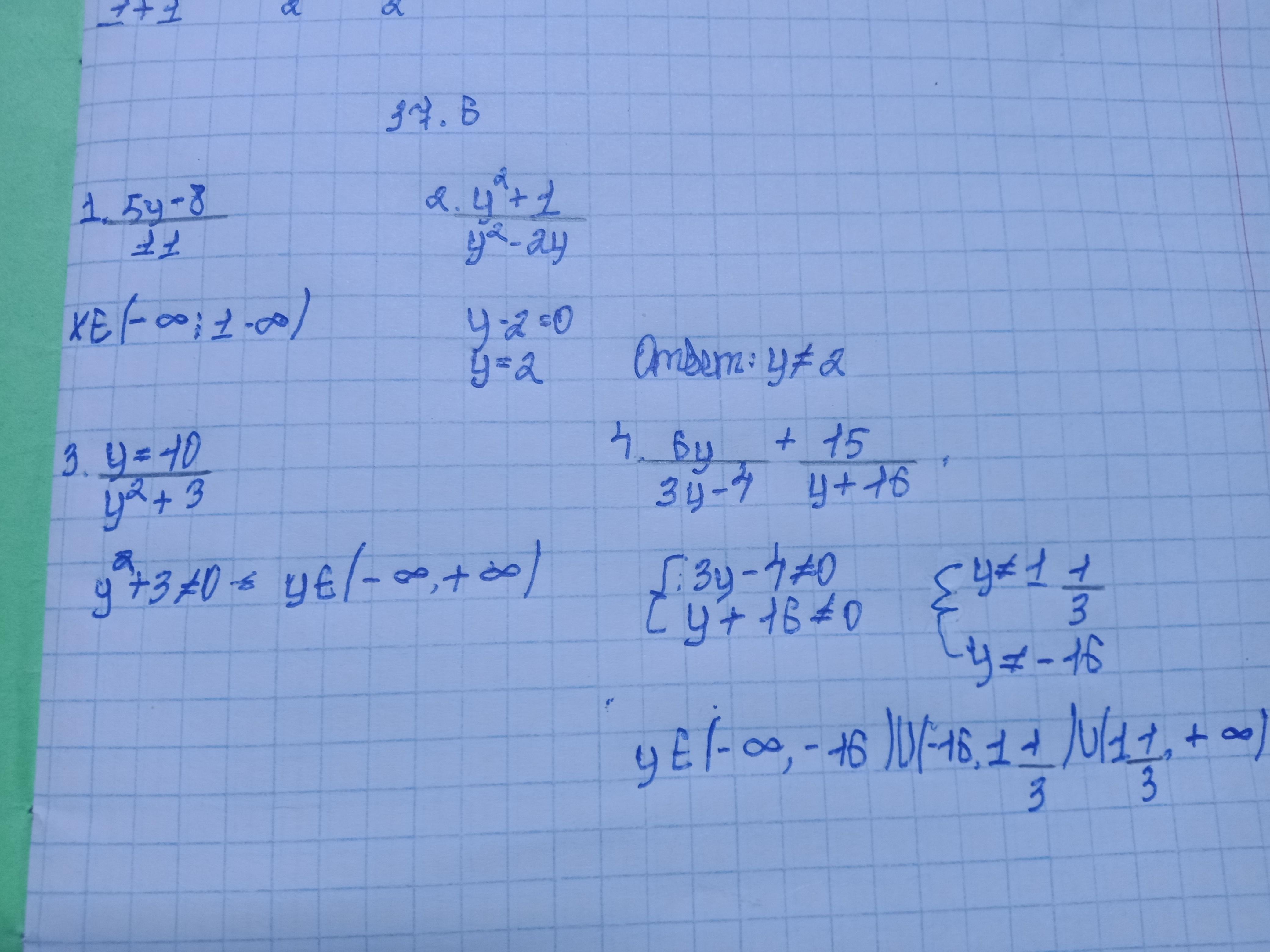
37.6 Найдите допустимые значения переменной в выражении Кратко пожалуйста ДАМ 30 баллов

Ответы

Ответ дал: evelineonetwo
2

Ответ:↓↓↓↓↓↓↓↓↓↓↓↓↓↓↓↓

Объяснение:↓↓↓↓↓↓↓↓↓↓↓↓↓↓↓↓↓↓↓↓↓↓↓↓

Приложения:
Вас заинтересует