• Предмет: Математика
  • Автор: Adrevcj
  • Вопрос задан 3 года назад

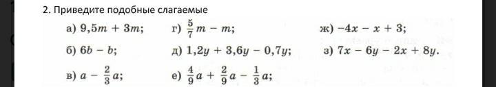
Приведите подобные слогаемые

Приложения:

Ответы

Ответ дал: bunny89
1
Ответ на фото,надеюсь помогла
Приложения:
Вас заинтересует