• Предмет: Математика
  • Автор: biryukova18
  • Вопрос задан 3 года назад

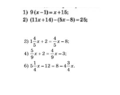
помогите с математикой

Приложения:

Ответы

Ответ дал: katyadmitrievaserj
0

Ответ:

в фото

Пошаговое объяснение:

.....................

Приложения:
Вас заинтересует