• Предмет: Алгебра
  • Автор: Аноним
  • Вопрос задан 3 года назад

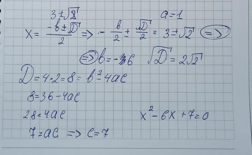
складіть квадратне рівняння корені якого дорівнюють 3-√2 і 3+√2!допоможіть!!!!!!!​

Ответы

Ответ дал: katyadmitrievaserj
1

Ответ:

х^2-6х+7=0

Объяснение:

........................

Приложения:
Вас заинтересует