• Предмет: Математика
  • Автор: loffol
  • Вопрос задан 3 года назад

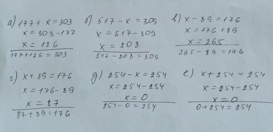
реши уравнения

дам 100 балов
177+х=303 517-х=309 х-89=176 х+89=176 254-х=254 х+254=254

Ответы

Ответ дал: kravchenkonastja2007
1

1)177+х=303

x=303-177

x=126

2)517-х=309

-x=309-517

-x=-208

x=208

3)х-89=176

x=176+89

x=265

4)х+89=176

x=176-89

x=87

5)254-х=254

-x=254-254

-x=0

x=0

6)х+254=254

x=254-254

x=0

Ответ дал: gggarbakov
1

Ответ:

Смотри решение на фото

Пошаговое объяснение:

На лучший ответ

Приложения:
Вас заинтересует