• Предмет: Математика
  • Автор: ruca42870
  • Вопрос задан 3 года назад

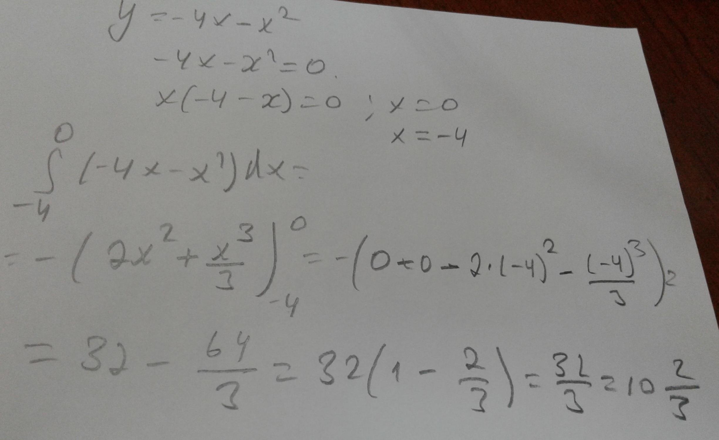
Найдите площадь фигуры, ограниченной графиком функции y=-4x-x^2 и осью абсцисс​

Ответы

Ответ дал: Matematiktm
0

Ответ:

Пошаговое объяснение:

y=-4x-x^2

Приложения:
Вас заинтересует