• Предмет: Математика
  • Автор: motorny0919
  • Вопрос задан 3 года назад

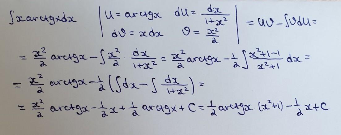
Тема: Методы интегрирования. Интегрирование по частям
Пример на изображении:

Приложения:

Ответы

Ответ дал: Miroslava227
1

Ответ:

решение на фотографии.

Приложения:
Вас заинтересует