• Предмет: Математика
  • Автор: abc0677539716
  • Вопрос задан 3 года назад

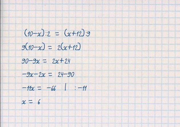
помогите пожалуйста решить срочно уравнение (10-x):2=(x+12):9​

Ответы

Ответ дал: Helga0906
0

Ответ:

x = 6

Пошаговое объяснение:

Приложения:
Вас заинтересует