• Предмет: Алгебра
  • Автор: skurdyumova
  • Вопрос задан 3 года назад

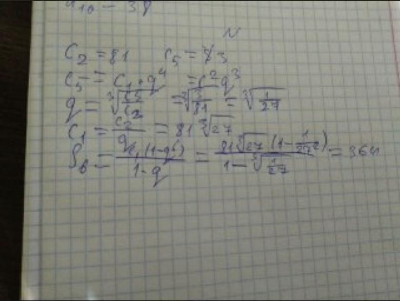
Послідовність (сn) – геометрична прогресія, с2=81, с5= 3. Знайдіть S6.

Ответы

Ответ дал: Citronn
3

Ответ:

Объяснение:

Все объяснение на фото (в последнем выражение просто перемножить одно на другое)

Приложения:
Вас заинтересует