• Предмет: Химия
  • Автор: arthur8675
  • Вопрос задан 3 года назад

назовите соединения спиртов​

Приложения:

Ответы

Ответ дал: Alexei78
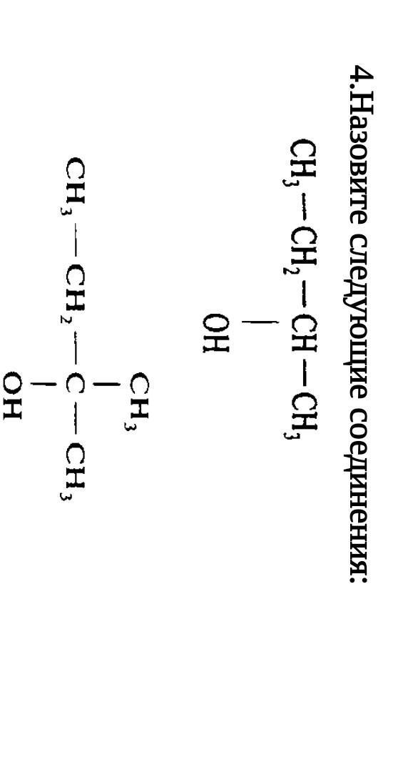
1

Ответ:

1) Бутан - 2 -ол

2) 2- метилбутан - 2 - ол

Объяснение:


Fivez: Братан, помоги мне пж
У меня в профиле есть этот вопрос
1. Определите валентность металлов и кислотных остатков в формулах солей : NaCl, CaCO3, K2SO3, Mg(NO3)2, Ag2SO4, K3PO4. 2. Дайте названия солям из номера 1 ( см выше) 3. Напишите химические формулы солей; хлорид калия, фосфат аммония, гидрокарбонат натрия, сульфид меди (II), нитрат серебра, силикат натрия.
BBVALL: Помогите пожалуйста!
https://znanija.com/task/43923663
Вас заинтересует