• Предмет: Алгебра
  • Автор: akitorichan
  • Вопрос задан 3 года назад

СРОЧНО ПОЖАЛУЙСТА!!!!!!!
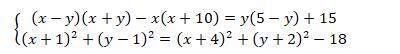
Решите систему уравнений:



В ответе укажите сумму (х+у).

Приложения:

Ответы

Ответ дал: artemklimko47
0

Ответ:

1)2x*2y-2x*10y+20y

2)1x*2y*(y-3)*8x+22y


ioanndp: что
Вас заинтересует