• Предмет: Математика
  • Автор: sasunkalike
  • Вопрос задан 3 года назад

Допоможіть...
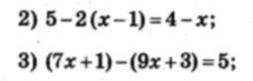
Знайдіть корінь рівняння
Там трохи не видно

Приложения:

Ответы

Ответ дал: tatsach
1

Ответ:

Пошаговое объяснение:

Приложения:

sasunkalike: Спасибі тобі
Я дуже тобі вдячна
Трохи не розумію, але добре
Дуже спасибі
sasunkalike: 20 балів твої
sasunkalike: Просто я не зрозуміла тему і тепер не можу зробити домашнє завдання
sasunkalike: В нас дистанційне навчання
tatsach: Пожалуйста
Вас заинтересует