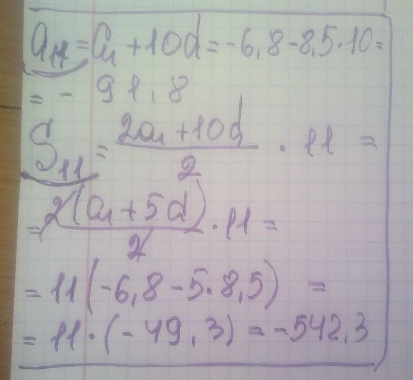
. Дана арифметическая прогрессия (an), разность которой равна −8,5; a1 = −6,8. Найдите a11 иS11.
Ответы
Ответ дал:
1
Ответ:
решение смотри на фотографии
Приложения:

Alex5648:
Дружище! Благодарю тебя))))))))))))
Вас заинтересует
2 года назад
2 года назад
2 года назад
2 года назад
8 лет назад
8 лет назад
9 лет назад