• Предмет: Алгебра
  • Автор: bakunina99
  • Вопрос задан 11 лет назад

Упросить выражения

(Распишите их) : 

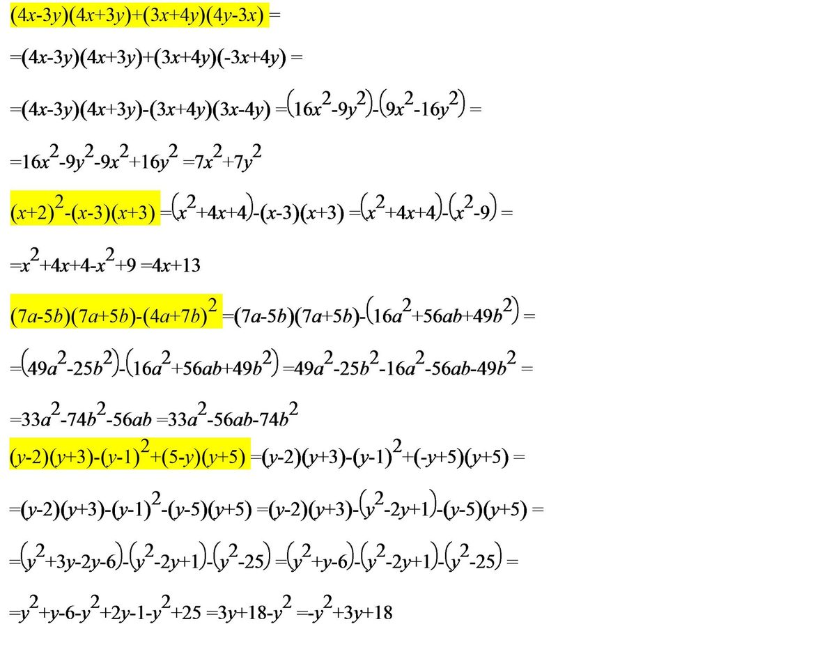
1)(4х - 3у)(4х+3у)+ (3х +4у)(4у - 3х)

2)(х+2)² - (х-3)(х+3)

3)(7а - 5b)(7a + 5b) - (4a + 7b)² 

4)(у - 2)(у+3) - (у -1)² + (5 - у) (у +5) 

Ответы

Ответ дал: Pichenya
0

1) (4х - 3у)(4х+3у)+ (3х +4у)(4у - 3х)= 16х^2(в квадрате)+12ху-12ху-9у^2+12ху-9х^2+16у^2-12ху=7х^2+7у^2=7(х^2+y^2)

2) (х+2)² - (х-3)(х+3)=х^2+4х+4-(х^2+3х-3х-9)=х^2+4х+4-х^2-3х+3х+9=4х+13

3) (7а - 5b)(7a + 5b) - (4a + 7b)²=49а^2+35аb-35ab-25b^2-(16a^2+56ab+49b^2)=49а^2+35аb-35ab-25b^2-16a^2-56ab-49b^2=33a^2-56ab-74b^2

4) (у - 2)(у+3) - (у -1)² + (5 - у) (у +5) = у^2+3у-2у-6-(у^2-2у+1)+5у+25-у^2-5у=у^2+3у-2у-6-у^2+2у-1+5у+25-у^2-5у=-у^2+3у+18

Ответ дал: triolana
0

файл

-----------------------------------------

Приложения:
Вас заинтересует