• Предмет: Математика
  • Автор: mavile943
  • Вопрос задан 3 года назад

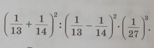
Помогите пожалуйста!!!!​

Приложения:

Ответы

Ответ дал: natkazag
1

Ответ:

1/27

Пошаговое объяснение:

Приложения:

mavile943: Спасибо
Вас заинтересует