• Предмет: Математика
  • Автор: zhansaya1262
  • Вопрос задан 3 года назад

4 Реши уравнения.
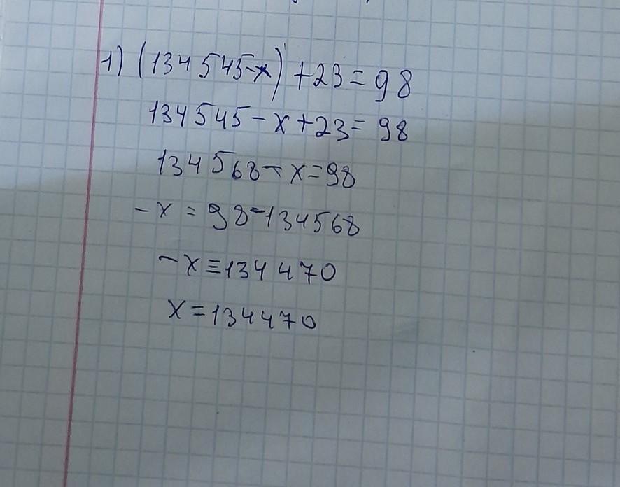
(134 545 - x) + 23 = 98
2002 + x • 5 = 46 022
(x + 52):7=700
34000+x•1000=76000​

Ответы

Ответ дал: rafaeltemirgaliev16
11

Ответ:

.....................

Приложения:

tamerlantokpaev7: ррштот
Ответ дал: MissDen
34

(134 545 - x) + 23 = 98

134545-х= 98-23

134545-х=75

х=134545-75

х=134470        

2002 + x • 5 = 46 022

x • 5 = 46 022-2002

х*5=44020

х= 44020:5

х=8804

(x + 52):7=700

x+52=700×7

x+52=4900

x=4900-52

x=4848

34000+x•1000=76000​

х*1000=76000-34000

х*1000=42000

х=42000:1000

х=42


imomovimranbek: Спс
MissDen: пожалуйста
sancho200927: Спс
zunterkirill2010: Чел бля1 ты кто такой
zunterkirill2010: Как ты 1 все сделал
zunterkirill2010: Остальные не знают
zunterkirill2010: Просто топ
intelectlntelect855: Спс лайк ❤
Вас заинтересует