показать,что функция F(x) является первообразной функции f(x):
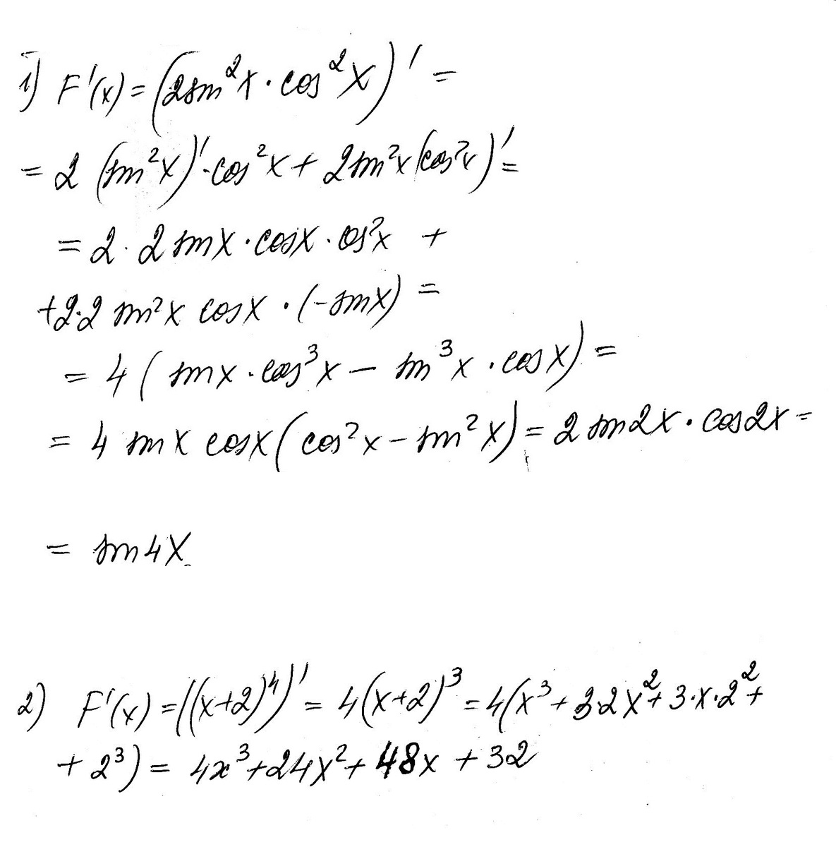
а)F(x)=2sin^2 x*cos^2x, f(x)=sin4x-3, -3<x<0;
б)F(x)=(x+2)^4, f(x)=4x^3 +24x^2 +48x +32, x принадлежит R.
Ответы
Ответ дал:
0
Решение в приложении
Ответе:
1) функция F(x)=2sin^2 x*cos^2x НЕ является первообразной функции f(x)=sin4x-3
НО является первообразной функции f(x)=sin4x
2) функция F(x)=(x+2)^4 является первообразной функции f(x)=4x^3 +24x^2 +48x +32
Ответе:
1) функция F(x)=2sin^2 x*cos^2x НЕ является первообразной функции f(x)=sin4x-3
НО является первообразной функции f(x)=sin4x
2) функция F(x)=(x+2)^4 является первообразной функции f(x)=4x^3 +24x^2 +48x +32
Приложения:
Ответ дал:
0
спасибо большое!
Вас заинтересует
3 года назад
3 года назад
8 лет назад
8 лет назад
11 лет назад
11 лет назад
11 лет назад
11 лет назад