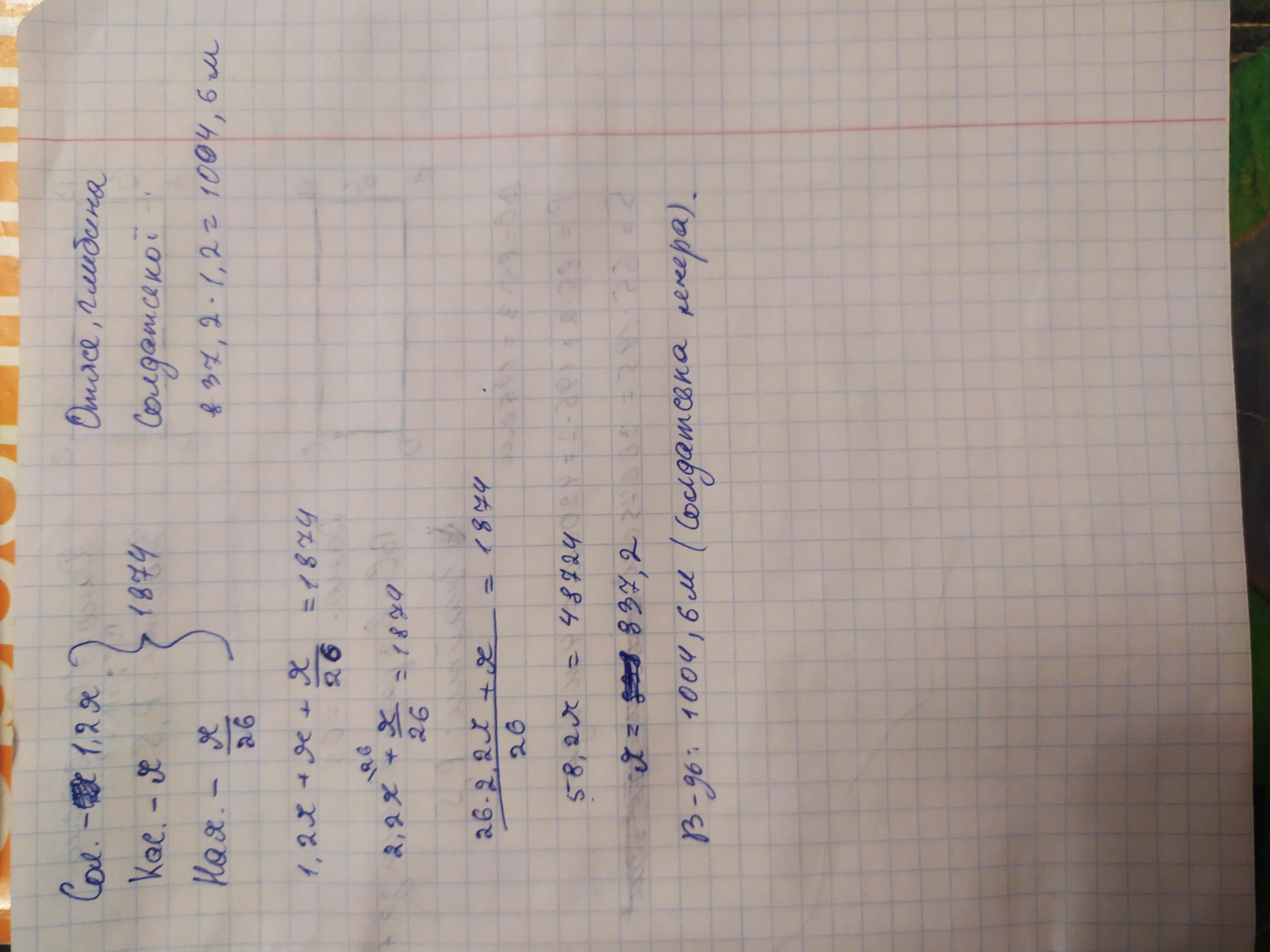
Три найглибші печери України -
Солдатська.и Каскадна та
Нахімовська знаходяться в Криму.
Сума їхніх глибин дорівнює 1874 м,
причому глибина Каскадної в 1,2
рази менше, від глибини
Солдатської та на 26 м більша за
глибину Нахімовської. Знайдіть
глибину найглибшої печери.
(Напишіть число)
Ответы
Ответ дал:
14
Ответ:
1004,6 м (Солдатська печера)
Пошаговое объяснение:
Приложения:

Вас заинтересует
8 лет назад
8 лет назад
9 лет назад
9 лет назад