• Предмет: Математика
  • Автор: Аноним
  • Вопрос задан 3 года назад

Помогите пожалуйста с
Примерами указанными на фото.
Отвечайте как хотите можно на фото, будет легче.

Приложения:

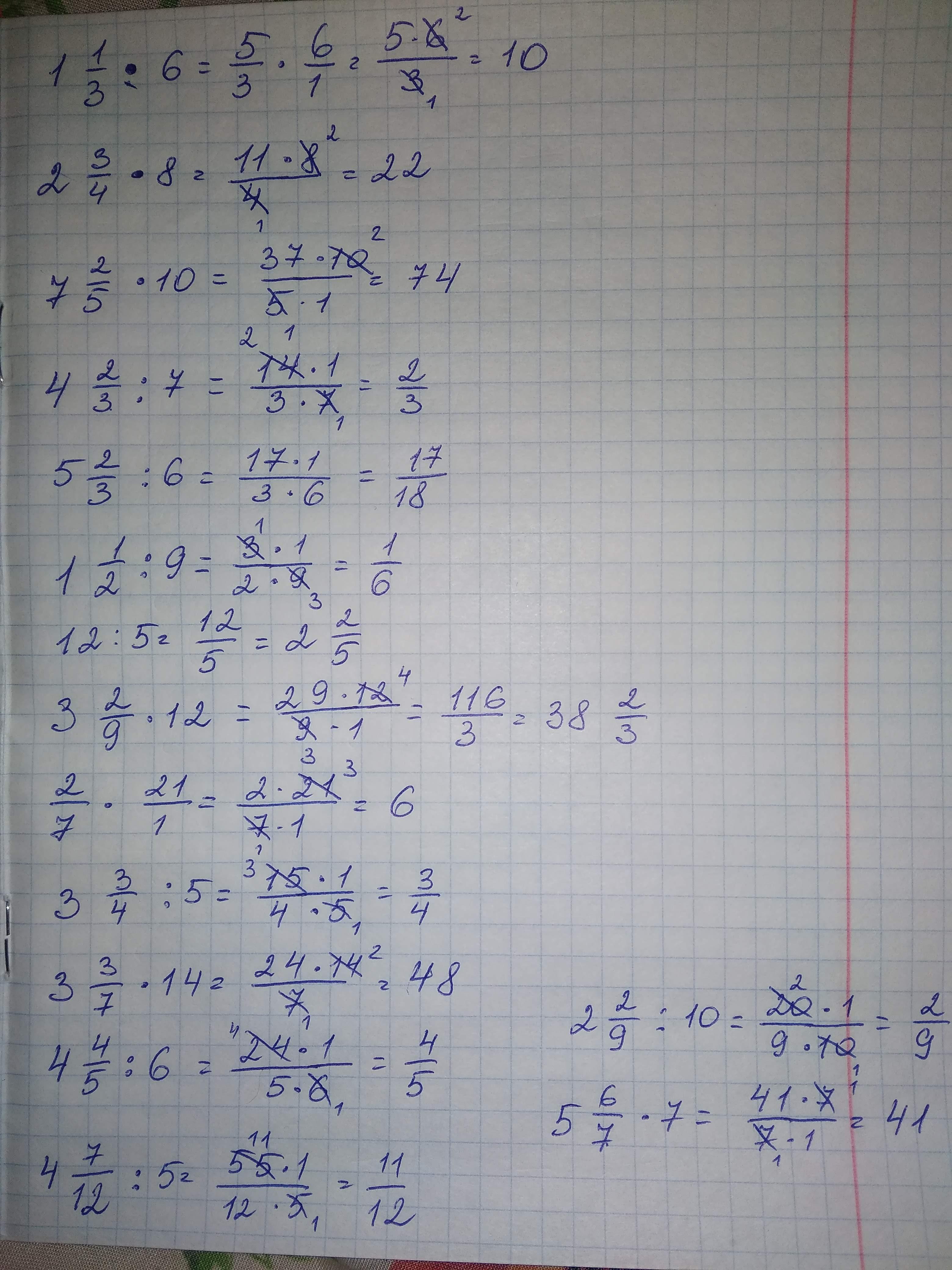
Ответы

Ответ дал: ya2ya
1

Ответ:

Пошаговое объяснение:

Приложения:
Ответ дал: nguseynova16
1

Ответ:

1. 4/3 × 6 = 8

2. 11/4 × 8 =22

3. 37/5 × 10 = 74

4. 14/ 3 × 1/7 = 2/3

5. 27/5 × 1/6 = 9/10

6. 3/2 × 1/9 = 1/6

7. 12÷5 = 2,4

8.29/9 × 12 = 116/3

9. 2×3 = 6

10. 15/4 × 1/5= 3/4

11. 24/7 ×14 = 48

12. 24/5 × 1/6 = 4/5

13.55/12 × 1/8 = 11/ 12

14.20/9 × 1/8 = 2/9

15.41/7 × 7 = 41

Вас заинтересует