определение и свойства логарифмов
у меня получается ответ 
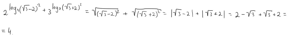
а правильный ответ 4
желательно решение на бумаге
Приложения:
Ответы
Ответ дал:
0
Решение на картинке. У вас верный ход решения, но вы забыли нюанс. корень из x^2= | x |
Приложения:
Вас заинтересует
3 года назад
3 года назад
8 лет назад
11 лет назад
11 лет назад
11 лет назад