• Предмет: Математика
  • Автор: nrrprrrrp
  • Вопрос задан 3 года назад

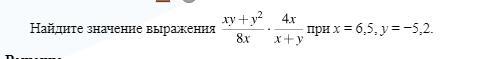
Помогите! Просто нужно найти значение выражение!

Приложения:

Ответы

Ответ дал: linara1345
1

Пошаговое объяснение:

ответ в изображении сверху, надеюсь помогла

Приложения:
Вас заинтересует