• Предмет: Математика
  • Автор: samojlovadara426
  • Вопрос задан 3 года назад

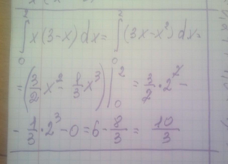
интеграл от 2 до 0 x(3-x)dx

Ответы

Ответ дал: manyny06
0

Ответ:

решение смотри на фотографии

Приложения:
Вас заинтересует