• Предмет: Алгебра
  • Автор: nosorog495
  • Вопрос задан 3 года назад

Помогите пж)


8клас алгебпа​

Приложения:

Ответы

Ответ дал: cRoox
0

Ответ:

Объяснение:

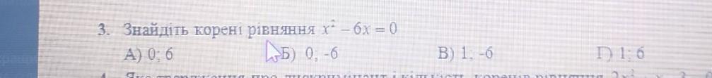
x²-6x=0

D=(-6)²-4*1*0=32>0   √D = √32

x=-(-6)±√32/2*1=\left \{ {{6} \atop {0}} \right.

Ответ: 0; 6 (A)

Вас заинтересует