• Предмет: Алгебра
  • Автор: alinaspesiva
  • Вопрос задан 3 года назад

СРОЧНО НУЖНО РЕШИТЬ!!!!!!!!!!!

Приложения:

Ответы

Ответ дал: Matematiktm
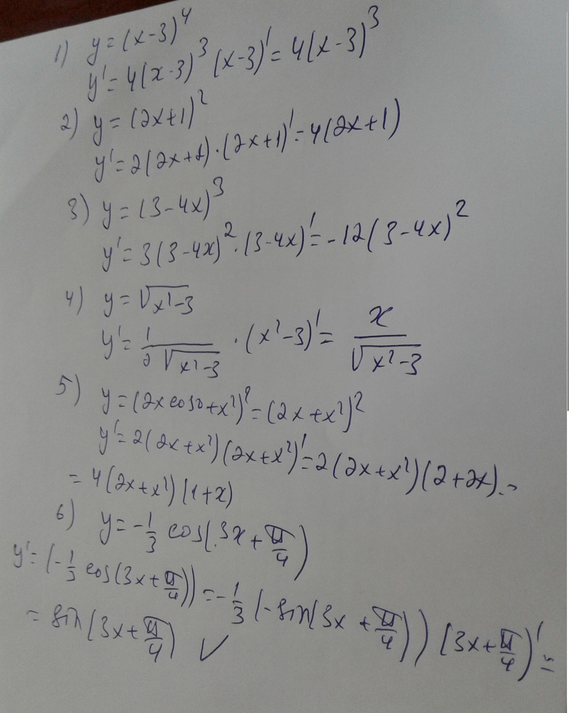
1

Ответ:

Объяснение:

решено

Приложения:
Ответ дал: Miroslava227
2

Ответ:

a)

f'(x) = 4 {(x - 3)}^{3}  \times (x - 3) '= 4 {(x - 3)}^{3}  \\

б)

f'(x) = 2(2x + 1) \times (2x + 1)' = (4x + 2) \times 2 =  \\  = 8x + 4

в)

f'(x) = 3 {(3 - 4x)}^{2}  \times (3 - 4x) '=  \\  = 3 {(3 - 4x)}^{2}  \times ( - 4) =  - 12 {(3 - 4x)}^{2}

г)

f'(x) = ( {( {x}^{2} - 3) }^{ \frac{1}{2} } ) '  =   \frac{1}{2}  {( {x}^{2} - 3) }^{ -  \frac{1}{2} }  \times ( {x}^{2}  - 3) '=  \\  =  \frac{1}{2 \sqrt{ {x}^{2} - 3 } }  \times 2x =  \frac{x}{ \sqrt{ {x}^{2}  - 3} }

д)

f'(x) = 2 {(2x \cos(0)  +  {x}^{2} )}^{2}  \times (2x \cos(0)  +  {x}^{2} )' =  \\  = 2(2x +  {x}^{2} ) {}^{2}  \times (2 + 2x) =  \\  = (4 + 4x) {(2 {x}^{2}  +  {x}^{2}) }^{2}

е)

f'(x) =  -  \frac{1}{3} ( -  \sin(3x +  \frac{\pi}{4} ) )  \times (3x +  \frac{\pi}{4} ) '=  \\  =  \frac{1}{3}  \sin(3x +  \frac{\pi}{4})   \times  3  =  \sin(3x +  \frac{\pi}{4} )


Аноним: Добрый день! ПОМОГИТЕ, ПОЖАЛУЙСТА с математикою!!!!! https://znanija.com/task/43835618?answeringSource=feedPublic%2FhomePage%2F32
Вас заинтересует