• Предмет: Геометрия
  • Автор: fante27
  • Вопрос задан 3 года назад

ТРЕБА СРОЧНО
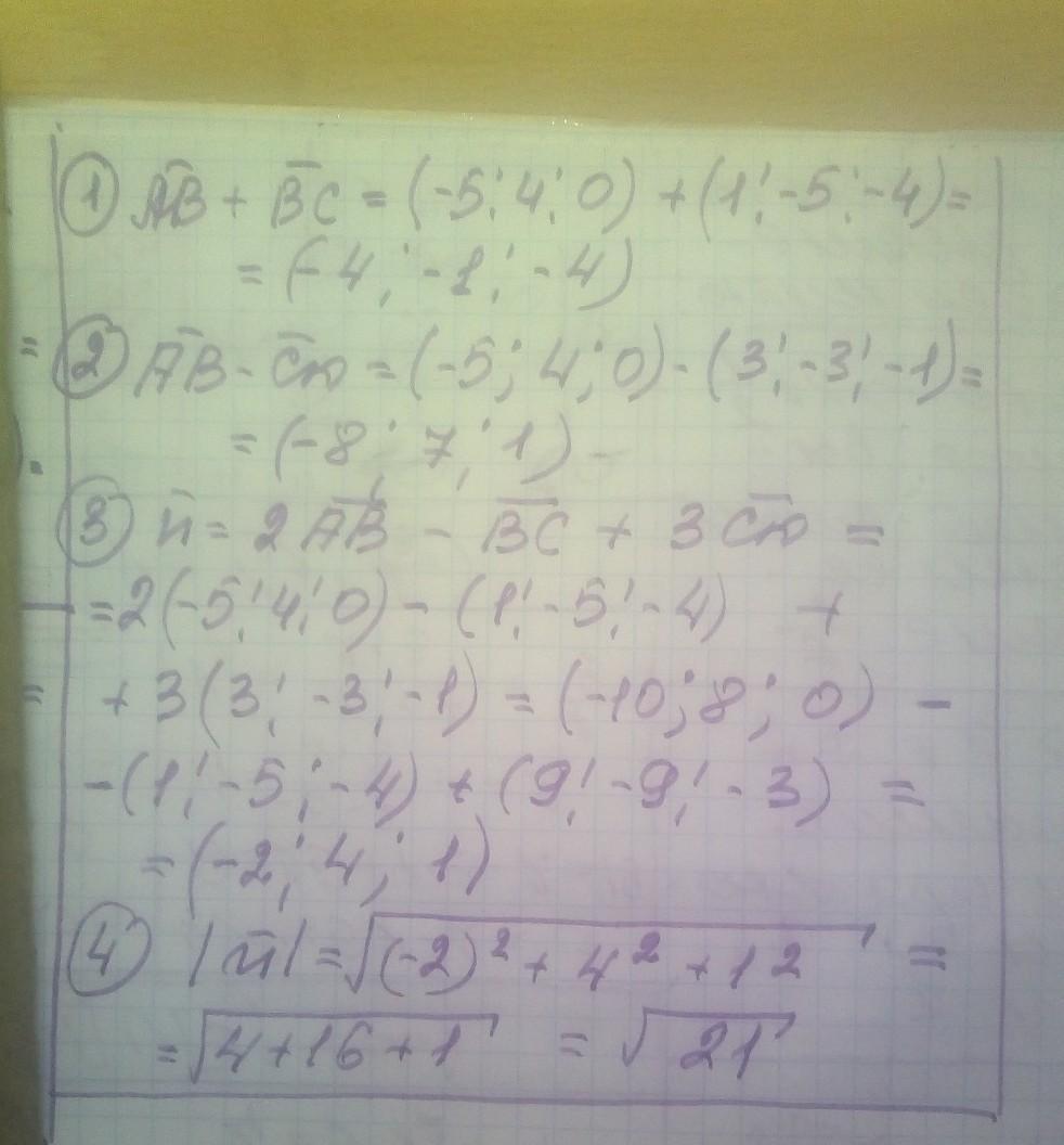
дано вектори AB (-5; 4;0 ) BC(1;-5;-4) CD(3;-3;-1) знайдіть1) AB+BC 2) AB-CD 3)n=2AB-BC+3CD 4)|n| ​

Ответы

Ответ дал: manyny06
5

Ответ:

решение смотри на фотографии

Приложения:
Вас заинтересует