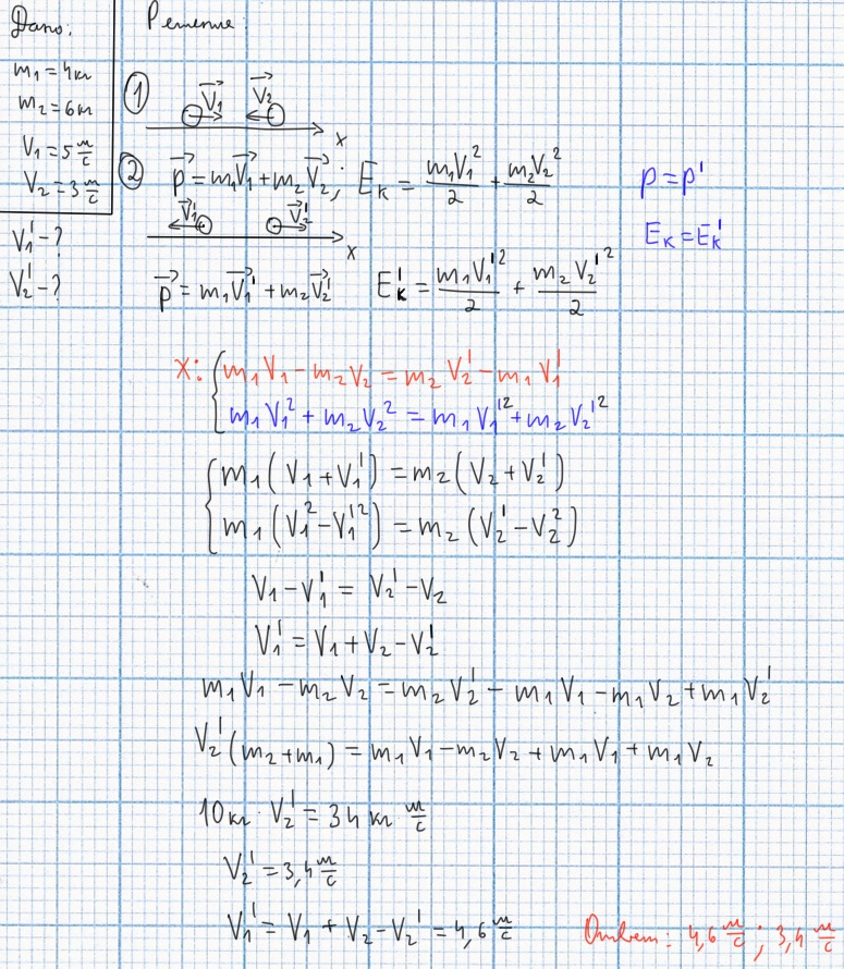
Два предмета массами 4кг и 6кг движутся друг за
другом из одной точки по горизонтальной поверхности со скоростями 5м/с и 3м/с.
Каковы скорости их после столкновения, если удар: 1) неупругий; 2) упругий
Неупругий знаю, а вот упругий подскажите пожалуйста
Ответы
Ответ дал:
0
В случае неупругого удара тела "слипаются" и двигаются как одно тело. Если удар неупругий, то при столкновении они отскакивают в противоположных направлениях.
При этом полная энергия системы сохраняется. Решается путём использования закона сохранения импульса и закона сохранения энергии. Раз с неупругим вы решили, то смотрите решение в случае абсолютно упругого удара на картинке.
При этом полная энергия системы сохраняется. Решается путём использования закона сохранения импульса и закона сохранения энергии. Раз с неупругим вы решили, то смотрите решение в случае абсолютно упругого удара на картинке.
Приложения:
Ответ дал:
0
В этой задаче скорее не знания физики в основном нужны, а рациональный подход к решению систем уравнений.
Ответ дал:
0
На здоровье! Учите математику. :)
Вас заинтересует
3 года назад
8 лет назад
8 лет назад
11 лет назад
11 лет назад
11 лет назад