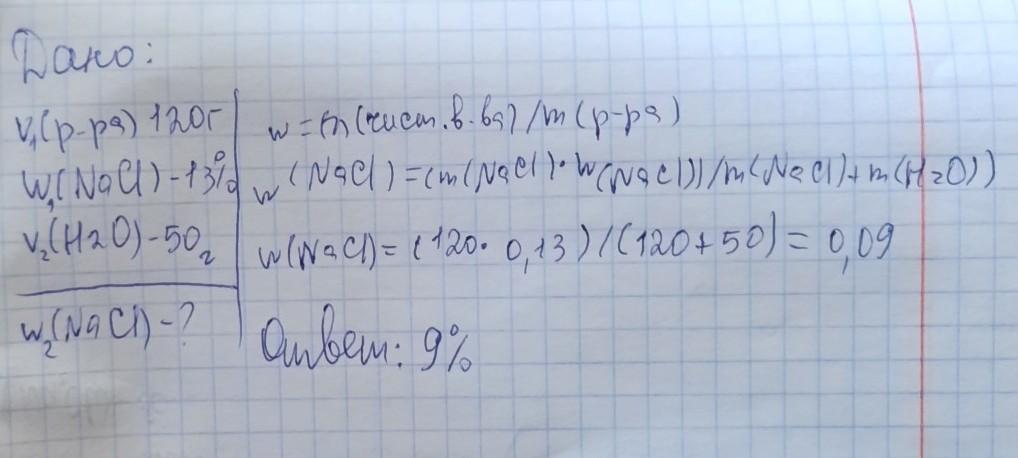
Задача 5. До розчину масою 120 г з масовою часткою солі 13% долили 50 г води. Яка масова частка утвореного розчину?
Задача 6. До 400 г розчину соди з масовою часткою Na2CO3 22% додали ще 80 г соди. Якою стала масова частка соди в утвореному розчині?
срочно надо
Ответы
Ответ дал:
2
Ответ:
Ответ на задачу 5.) 9%, ответ на задачу 6.) 25,8%
Приложения:


Вас заинтересует
2 года назад
2 года назад
2 года назад
8 лет назад
8 лет назад
9 лет назад