• Предмет: Математика
  • Автор: klevickaa446
  • Вопрос задан 3 года назад

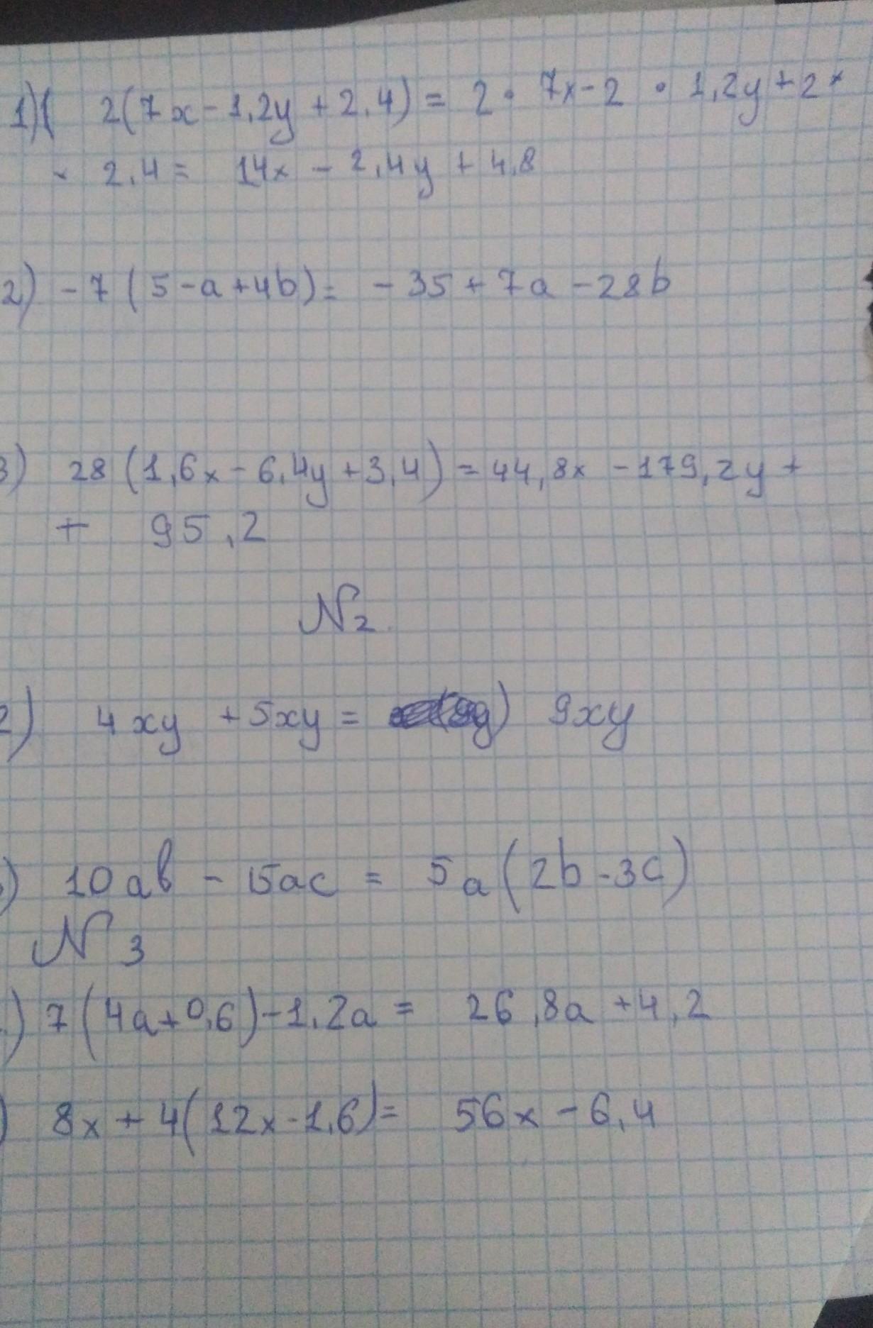
допоможіть будь ласка потрібно завтра здати!!​

Приложения:

Ответы

Ответ дал: khristinnaaaa25
1

Ответ:

тримай фото з вирішенням завдань

Приложения:
Вас заинтересует