• Предмет: Алгебра
  • Автор: dianaabdurahmanova68
  • Вопрос задан 3 года назад

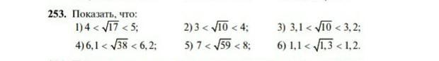
Нужно срочно срочно нужно зделать срочно нужно зделать срочно нужно зделать срочно нужно зделать срочно нужно зделать срочно нужно зделать срочно нужно зделать срочно нужно зделать срочно нужно зделать срочно нужно зделать срочно нужно зделать срочно нужно зделать срочно нужно зделать срочно нужно зделать срочно нужно зделать срочно нужно зделать срочно нужно зделать срочно нужно зделать​

Приложения:

Ответы

Ответ дал: ri1259758
1

Ответ:думаю там понятно)))

Объяснение:

Приложения:
Вас заинтересует