• Предмет: Алгебра
  • Автор: ArsenTurar001
  • Вопрос задан 3 года назад

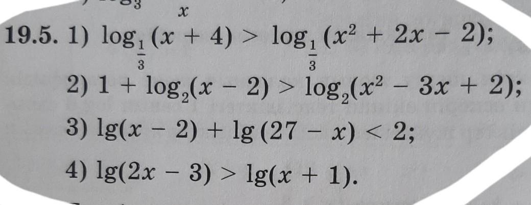
решите неравенства
заранее благодарю​

Приложения:

Ответы

Ответ дал: Miroslava227
1

Ответ:

решение на фотографиях

Приложения:

ArsenTurar001: спасибо!
Вас заинтересует