• Предмет: Алгебра
  • Автор: Аноним
  • Вопрос задан 3 года назад

ПОМОГИТЕ ПОЖАЛУЙСТА!!!! ООЧЕНЬ СРОЧНОО НУЖНО!!!! ПРОШУ...

Приложения:

Ответы

Ответ дал: tvojad8
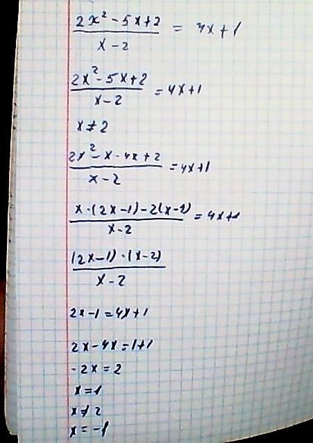
1

ответ:

на фото

обяснение:

на фото  

х^4-13x^2+36=0

x^2-13x+36=0

x=4

x=9

x^2=4

X^2=9

x=-2

x=2

x=-3

x=3

x_1(без pиски і 1 внизу x)=-3

x_2=-2

x_3=2

x_4=3

Приложения:

Аноним: спасибо огромное
Вас заинтересует