Ответы
Ответ дал:
1
Пошаговое объяснение:
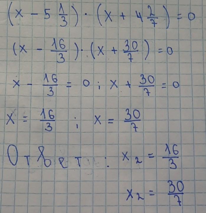
Если сумма равна нулю, то хотя бы один из множителей будет равен нулю. Вот почему так получилось. Только, пожалуйста перепиши этот пример, а не отсылай моё фото.
Приложения:

qunaymiller000:
да хорошо спасибо большое
Вас заинтересует
2 года назад
2 года назад
8 лет назад
8 лет назад
9 лет назад