• Предмет: Химия
  • Автор: bfgshrsh
  • Вопрос задан 3 года назад

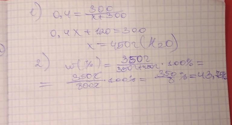
До розчину кухонної солі масою 300 г з масовою часткою солі 40% додали 50 г солі.
Обчисліть масову частку солі в новому розчині.

Ответы

Ответ дал: rzasad777
3

Ответ:

43,75%

Объяснение:

Якщо, що то незрозуміло буде запитаєш)

Приложения:

bfgshrsh: спс огромное
rzasad777: не за что)
desaterikdiana: от куда 0,4 + 120? 120 где там?
Вас заинтересует