• Предмет: Математика
  • Автор: NoToxicc
  • Вопрос задан 3 года назад

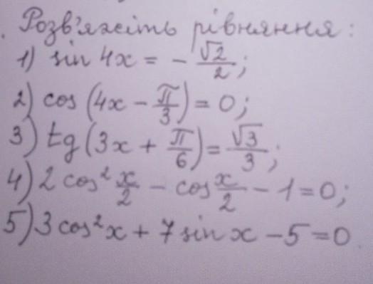
ОЧЕНЬ СРОЧНО РЕБЯТА ПОМОГИТЕ ​

Приложения:

Ответы

Ответ дал: Полина01234
1

Ответ:

Пошаговое объяснение:

Все в листе

Приложения:

NoToxicc: Полина, ты спасла мне жизнь. Огромное спасибо
Вас заинтересует