Пожалуйста! Помогите! Алгебра 7 класс:
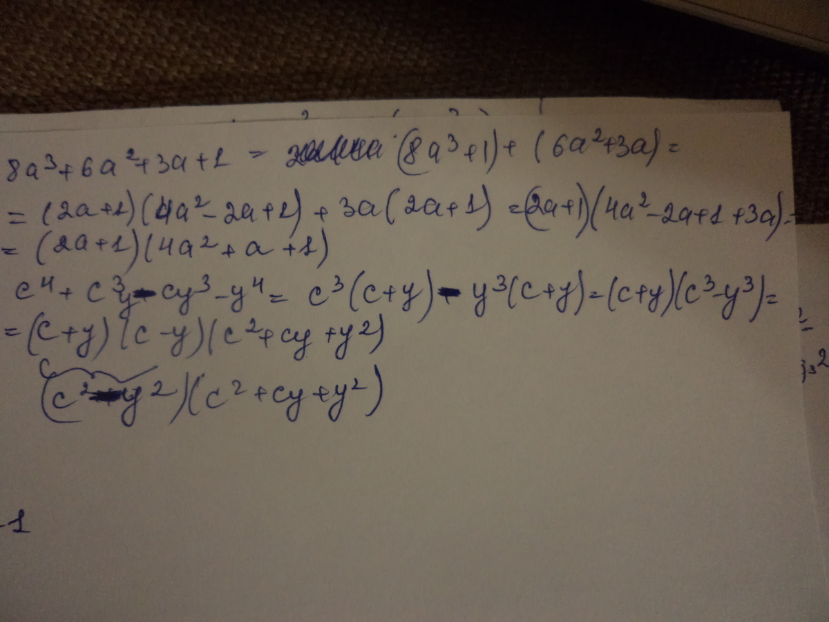
8a^3+6a^2+3a+1 и с^4+c^3y-cy^3-y^4 представьте в виде произведения
Ответы
Ответ дал:
0
решениеееееееееееееееееееееееееееее
Приложения:
Ответ дал:
0
8a^3+6a^2+3a+1=2^2a^3+1+3a(2a+1)=(2a+1)(4a^2-2a+1)+3a(2a+1)=(2a+1)(a^2+a+1)
и с^4+c^3y-cy^3-y^4=c^3(c+y)-y^3(с+y)=(c^3-y^3)(c+y)=(с-y)(c+y)(c^2-cy+y^2) представьте в виде произведения
и с^4+c^3y-cy^3-y^4=c^3(c+y)-y^3(с+y)=(c^3-y^3)(c+y)=(с-y)(c+y)(c^2-cy+y^2) представьте в виде произведения
Приложения:
Вас заинтересует
3 года назад
3 года назад
8 лет назад
8 лет назад
11 лет назад
11 лет назад
11 лет назад