помогите решить примеры 9-10 класса
Приложения:

Аноним:
все решите пж
Ответы
Ответ дал:
1
Пошаговое объяснение:
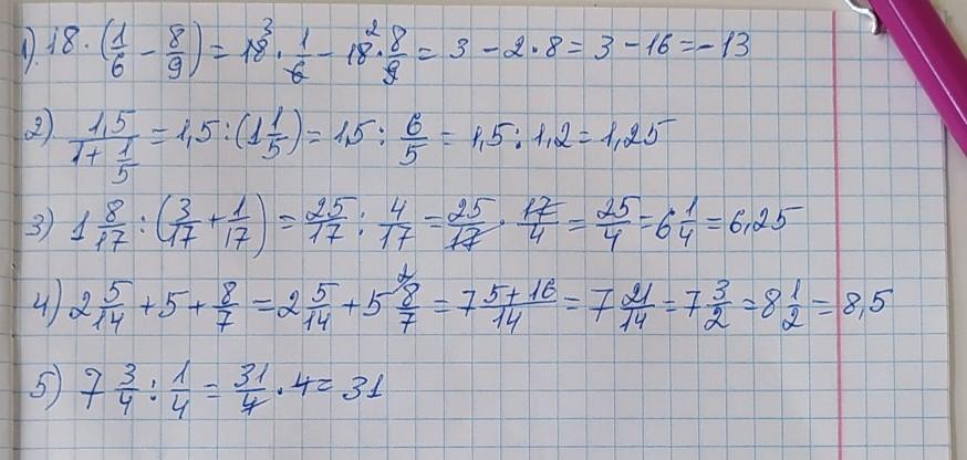
решение на фото на фото на фото
Приложения:

Ответ дал:
1
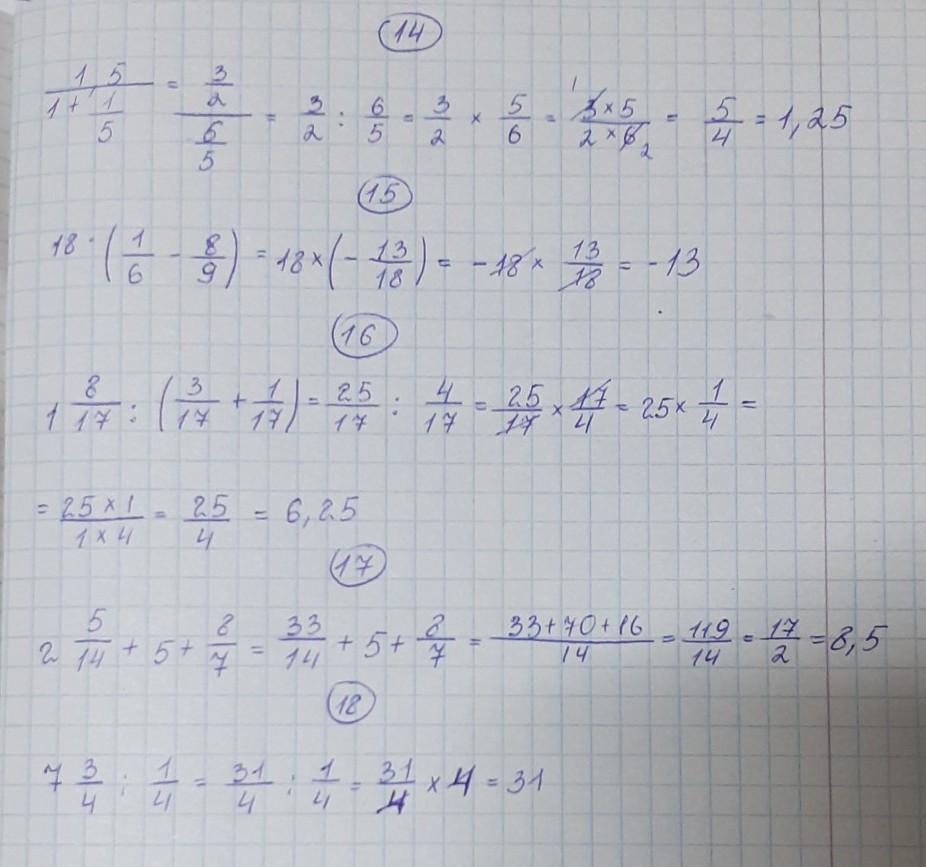
ответ на фотографии, рада была помочь
Приложения:

Вас заинтересует
2 года назад
2 года назад
2 года назад
2 года назад
8 лет назад
8 лет назад