• Предмет: Химия
  • Автор: olafuarcuk6
  • Вопрос задан 3 года назад

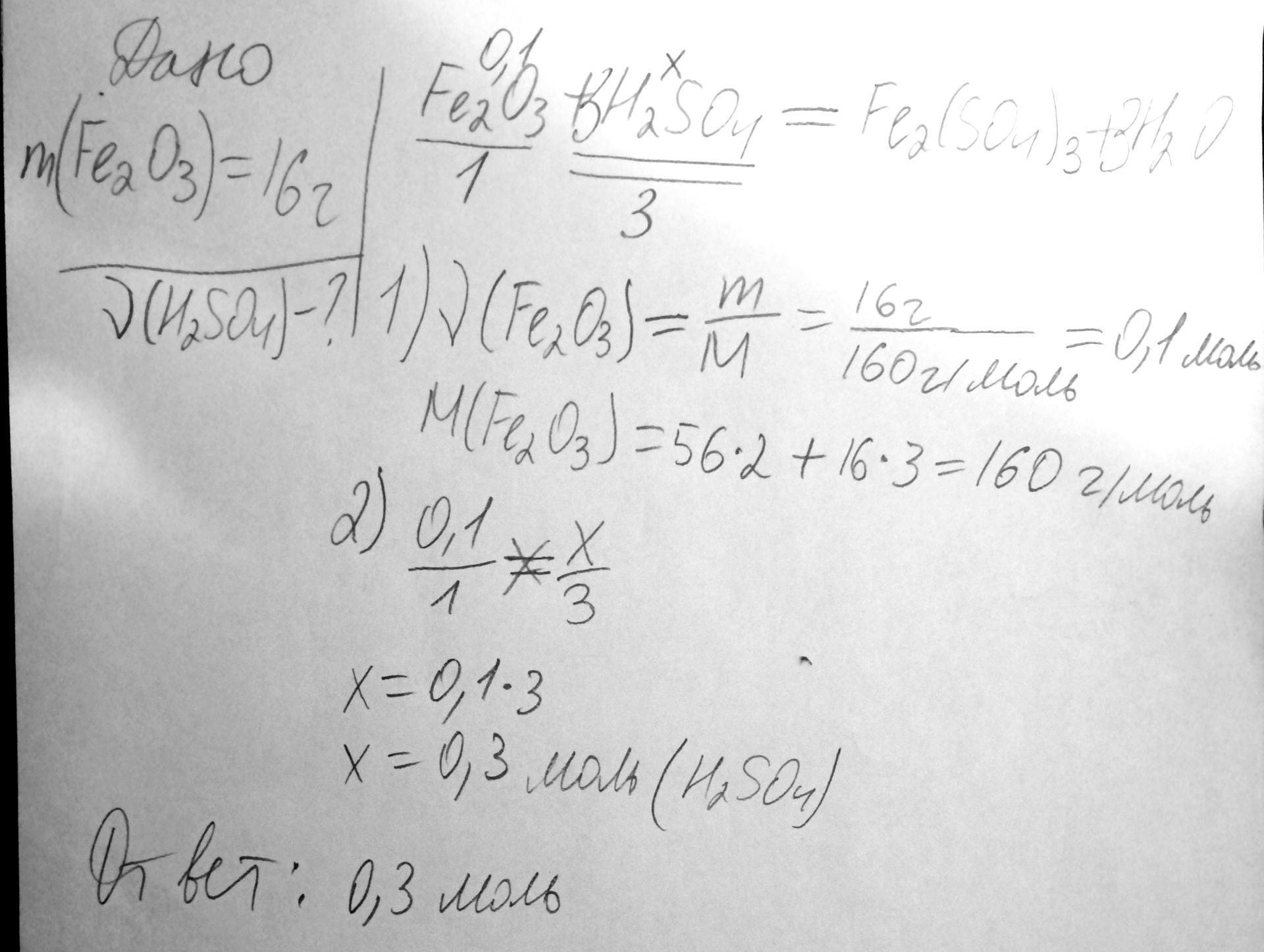
Яка кількість речовини сульфатної кислоти Н2SO4 необхідно для розчинення ферум 3 оксиду масою 16 Г​

Ответы

Ответ дал: dyyhdgt
1

Відповідь:

Пояснення:

Приложения:
Вас заинтересует