• Предмет: Алгебра
  • Автор: КатяСизова
  • Вопрос задан 3 года назад

Помогите, пожалуйста, решить примеры 1. 2. 3. 4.

Приложения:

Ответы

Ответ дал: Miroslava227
1

Ответ:

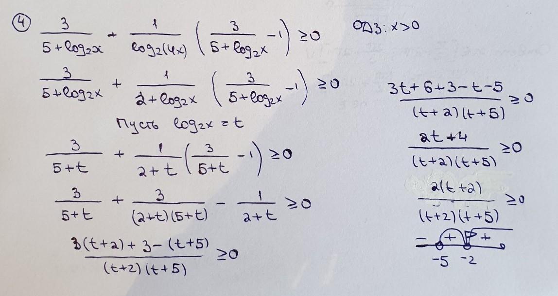
решение на фотографиях

Приложения:
Вас заинтересует