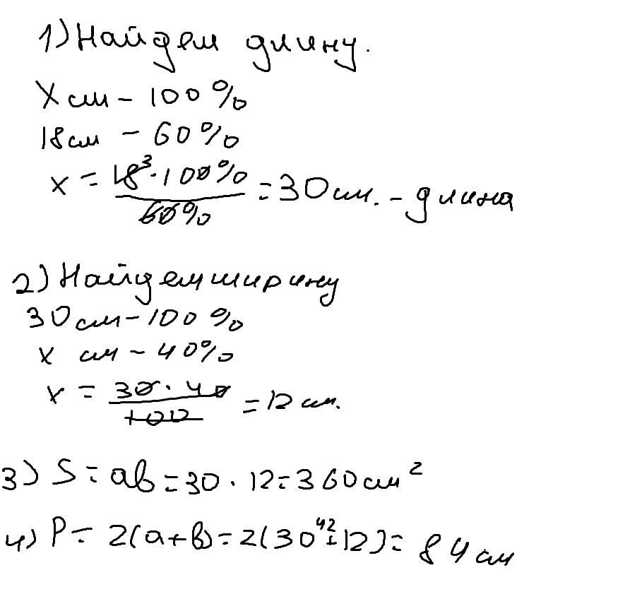
Нахождение процента от числа и числа по его проценту. Урок 3 60 % длины прямоугольника равны 18 см. Ширина прямоугольника составляет 40 % от его длины. Найди периметр P и площадь S прямоугольника. P = см. S = см2.
GOMABAEN:
у кого реклама 1) 84 2) 630
Ответы
Ответ дал:
1
Ответ:
84, 360
Пошаговое объяснение:
Приложения:

Ответ дал:
0
Длина прямоугольника:
60:100=0,6
18:0,6=30
Ширина прямоугольника:
30*40:100=12
Периметр прямоугольника:
(30+12)*2=84
Площадь прямоугольника:
30*12=360
Р=84см.
S=360см².
Вас заинтересует
2 года назад
2 года назад
2 года назад
2 года назад
8 лет назад
8 лет назад
9 лет назад